各位考生:
我院2021年高职扩招拟录取名单于12月14日在学院官网及学院微信公众号平台公布,各位考生可选择①登录我院官网:http://www.svccc.net/ ②关注微信公众号③文传学院院校通服务平台(操作方法见下文)任意一种方式进行查询。

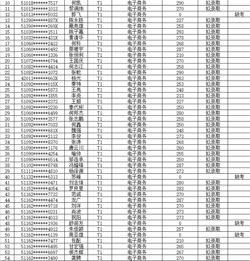
1.拟录取名单如下表:












2.预录取公示时间
预录取公示时间为12月14日—18日。公示期间可以申请放弃录取,考生若要放弃录取,须在公示期间由考生本人向学院招生处办理相关放弃录取手续,申请放弃录取的考生须在12月18日17:00时之前,逾期不再接受放弃录取申请。在拟录取名单公示期间,考生放弃录取后,若计划出现缺额,将在相应专业、类别中的未录取考生中按照从高分到低分原则依次递补。

3.复查手续
凡对成绩有疑问需复核的考生可凭本人准考证和身份证在12月14日—18日到学院教务处办理复查手续, 逾期不予办理。

4. 文传学院院校通服务平台操作手册
第一步:微信扫描小程序

第二步:点击立即注册

第三步:选择应用管理、我的扩招

第四步:查询信息

5.咨询电话
教务处咨询电话:
028-82386275
招生处咨询电话:
028-82312000
028-82386271

